Pedoman Psoriasis Indonesia Terbaru
Pedoman Psoriasis Indonesia Terbaru
Halo guys! Apa kabar? Semoga sehat selalu ya. Kali ini kita akan ngobrolin soal pedoman psoriasis Indonesia terbaru . Psoriasis itu emang penyakit kulit yang bikin nggak nyaman banget, tapi dengan panduan yang tepat, kita bisa mengelola kondisi ini dengan lebih baik. Yuk, kita selami lebih dalam apa aja sih yang perlu kita tahu.
Table of Contents
- Memahami Psoriasis: Lebih dari Sekadar Penyakit Kulit
- Kriteria Diagnosis Psoriasis yang Akurat
- Pilihan Terapi Psoriasis Sesuai Tingkat Keparahan
- Terapi Topikal: Solusi untuk Psoriasis Ringan-Sedang
- Fototerapi: Cahaya yang Membantu
- Terapi Sistemik: Untuk Kasus yang Lebih Serius
- Peran Penting Perawatan Kulit Sehari-hari
- Dukungan Psikologis dan Kualitas Hidup
- Kesimpulan: Hidup Berkualitas dengan Psoriasis
Memahami Psoriasis: Lebih dari Sekadar Penyakit Kulit
Nah, memahami psoriasis itu penting banget, guys. Seringkali orang menganggap psoriasis itu cuma masalah kulit biasa, padahal lebih dari itu. Psoriasis itu adalah penyakit autoimun kronis yang mempengaruhi siklus hidup sel kulit. Normalnya, sel kulit kita beregenerasi dalam waktu sebulan, tapi pada penderita psoriasis, proses ini terjadi dalam beberapa hari saja. Akibatnya, sel-sel kulit menumpuk dan membentuk bercak tebal, bersisik, dan seringkali merah yang disebut plak. Plak ini bisa muncul di mana saja di tubuh, tapi paling umum di siku, lutut, kulit kepala, dan punggung. Penting untuk diingat , psoriasis bukan penyakit menular ya, jadi jangan khawatir kalau berdekatan dengan penderitanya. Perlu kita pahami juga, psoriasis itu punya berbagai jenis, mulai dari psoriasis vulgaris (yang paling umum dengan plak), psoriasis guttata (berbentuk bintik-bintik kecil), psoriasis inversa (di lipatan kulit), psoriasis pustular (dengan nanah), hingga psoriasis eritrodermik (kulit memerah seluruhnya). Masing-masing jenis ini punya karakteristik dan penanganan yang mungkin sedikit berbeda. Selain manifestasi di kulit, psoriasis juga seringkali dikaitkan dengan kondisi kesehatan lain, lho. Ini yang sering bikin orang kaget. Psoriasis bisa meningkatkan risiko masalah kesehatan lain seperti artritis psoriatik (radang sendi), penyakit jantung, diabetes, obesitas, sindrom metabolik, bahkan depresi dan kecemasan. Jadi, mengelola psoriasis bukan cuma soal menghilangkan gatal dan merah di kulit, tapi juga menjaga kesehatan tubuh secara keseluruhan. Ini juga yang mendasari mengapa pedoman psoriasis Indonesia itu sangat penting. Adanya panduan yang terstruktur membantu para dokter dan tenaga medis memberikan diagnosis yang akurat dan penanganan yang komprehensif, tidak hanya fokus pada gejalanya tapi juga pada akar masalah dan potensi komorbiditasnya. Memahami psoriasis secara mendalam juga membantu kita sebagai pasien untuk lebih proaktif dalam perawatan diri, mengenali pemicu, dan berkomunikasi efektif dengan dokter. Ini adalah langkah awal yang krusial dalam perjalanan panjang mengendalikan kondisi ini agar kualitas hidup tetap terjaga. Jadi, jangan pernah remehkan psoriasis, guys. Mari kita lihat lebih jauh apa saja poin-poin penting dalam pedoman terbaru ini.
Kriteria Diagnosis Psoriasis yang Akurat
Guys, kriteria diagnosis psoriasis itu harus tepat banget. Salah diagnosis bisa bikin pengobatan jadi nggak efektif, malah bisa memperburuk kondisi. Nah, di Indonesia, para dokter biasanya mengikuti panduan yang udah ditetapkan untuk memastikan diagnosisnya. Pertama , mereka bakal lihat dulu riwayat kesehatan kamu. Apakah ada anggota keluarga yang punya psoriasis? Soalnya, faktor genetik itu lumayan berperan. Dokter juga bakal nanya soal gejala yang kamu rasain, kapan mulainya, seberapa parah, dan apa aja yang bikin kambuh. Psoriasis itu seringkali kambuh dan membaik , jadi riwayat ini penting banget. Kedua , pemeriksaan fisik jadi kunci utama. Dokter bakal perhatiin banget bentuk, ukuran, warna, dan lokasi lesi di kulit kamu. Ciri khas psoriasis itu kan plak yang tebal, bersisik putih keperakan di atas kulit yang kemerahan. Lokasinya juga khas, sering di siku, lutup, kulit kepala, tapi bisa juga di mana aja. Kadang-kadang, dokter juga perlu bedain sama penyakit kulit lain yang gejalanya mirip, kayak eksim atau infeksi jamur. Nah, kalau masih ragu, pemeriksaan penunjang bisa dilakukan. Salah satunya adalah biopsi kulit. Jadi, sedikit sampel kulit diambil dan diperiksa di bawah mikroskop. Ini bisa ngasih gambaran yang lebih jelas soal perubahan sel kulit yang khas pada psoriasis. Tapi, biopsi ini nggak selalu perlu kok, biasanya dokter udah bisa diagnosis dari pemeriksaan fisik aja. Diagnosis dini dan akurat itu krusial karena semakin cepat ditangani, semakin baik hasilnya. Nggak cuma itu, diagnosis yang tepat juga mencegah pemberian obat yang salah yang bisa jadi berbahaya. Misalnya, kalau dikira jamur tapi ternyata psoriasis, dikasih obat antijamur nggak bakal mempan, malah buang-buang waktu dan biaya. Jadi, penting banget buat kita yang merasa punya gejala psoriasis untuk segera konsultasi ke dokter kulit. Jangan asal tebak atau coba-coba obat sendiri. Percayakan pada ahlinya untuk mendapatkan diagnosis yang tepat. Dengan pedoman yang jelas, proses diagnosis jadi lebih terstandarisasi dan meminimalkan kesalahan. Ingat, pengobatan yang efektif berawal dari diagnosis yang benar . Jadi, kalau ada keluhan kulit yang nggak biasa, jangan tunda lagi, segera periksakan diri ke dokter ya, guys!
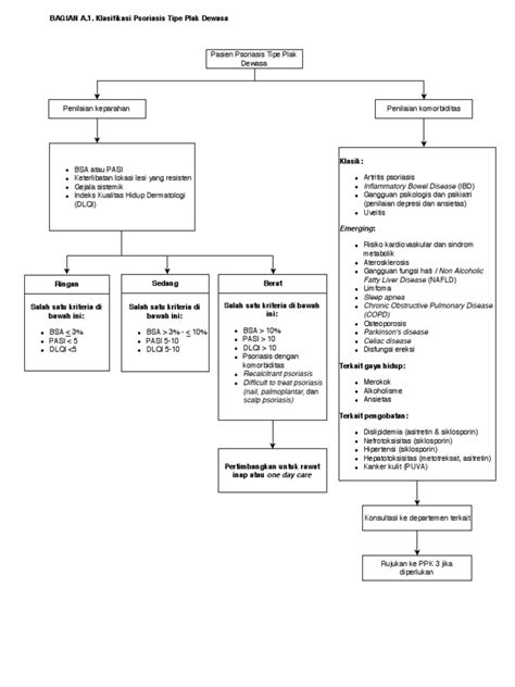
Pilihan Terapi Psoriasis Sesuai Tingkat Keparahan
Oke guys, sekarang kita masuk ke bagian yang paling ditunggu-tunggu: pilihan terapi psoriasis ! Psoriasis itu kan beda-beda tingkat keparahannya, jadi terapinya juga nggak bisa disamain. Pedoman terbaru di Indonesia ini makin canggih, lho, ngasih pilihan yang lebih personalize.
Terapi Topikal: Solusi untuk Psoriasis Ringan-Sedang
Buat yang psoriasisnya masih ringan sampai sedang, biasanya terapi topikal jadi pilihan utama. Ini maksudnya obat oles yang langsung diaplikasikan ke kulit yang kena. Gampang banget kan? Obat-obat yang sering dipakai antara lain kortikosteroid topikal. Ini ampuh banget buat ngurangin radang, gatal, dan kemerahan. Tapi ingat, guys, penggunaan kortikosteroid harus hati-hati dan sesuai resep dokter ya. Jangan dipakai sembarangan atau terlalu lama, karena bisa ada efek sampingnya. Selain itu, ada juga analog vitamin D3 (seperti calcipotriol) dan retinoid topikal (seperti tazarotene). Kombinasi keduanya seringkali lebih efektif. Analog vitamin D3 ini cara kerjanya ngatur pertumbuhan sel kulit biar nggak cepet banget, sedangkan retinoid topikal bantu ngelurusin proses pematangan sel kulit. Ada lagi yang namanya anthralin , obat ini lumayan kuat buat ngilangin plak psoriasis, tapi bisa bikin kulit jadi coklat sementara dan kadang bikin iritasi. Makanya, penggunaannya perlu diawasi ketat. Terus, ada salisil asid dan sulfur. Ini lebih ke arah pelembap dan pengelupas kulit mati. Mereka bantu ngurangin sisik psoriasis biar obat lain bisa lebih gampang nyerap. Terapi topikal ini aman dan efektif kalau dipakai dengan benar. Kuncinya adalah konsisten dan sabar. Jangan berharap langsung sembuh dalam semalam ya, guys. Hasilnya butuh waktu. Penting juga buat nemuin pelembap yang cocok buat kulit psoriasis kamu. Kulit yang terhidrasi dengan baik itu lebih sehat dan nggak gampang iritasi. Jadi, cari pelembap yang hypoallergenic dan bebas pewangi. Intinya, untuk psoriasis ringan-sedang, fokusnya adalah mengendalikan gejala di permukaan kulit. Terapinya relatif mudah diaplikasikan di rumah dan biasanya memberikan hasil yang memuaskan jika dijalani dengan disiplin. Pilih terapi topikal yang tepat itu kayak milih senjata yang pas buat ngelawan musuh, harus sesuai sama medan perangnya. Jangan lupa juga, selalu konsultasi sama dokter kulitmu buat dapetin rekomendasi terbaik sesuai kondisi kulitmu, guys. Mereka bisa bantu meracik kombinasi obat yang paling pas buat kamu.
Fototerapi: Cahaya yang Membantu
Nah, kalau fototerapi itu kayak terapi pakai sinar. Khususnya sinar ultraviolet (UV). Ini bisa jadi pilihan bagus buat beberapa orang, terutama yang psoriasisnya lumayan luas di badan tapi nggak merespon baik obat oles, atau kalau mau ngurangin pemakaian obat oles. Sinar UV itu ternyata bisa ngebantu ngurangin peradangan dan memperlambat pertumbuhan sel kulit yang super cepat itu. Ada beberapa jenis fototerapi yang biasa dipakai. Yang paling umum itu Narrowband UVB (NB-UVB). Sinar NB-UVB ini punya panjang gelombang yang spesifik yang dianggap paling efektif buat ngobatin psoriasis. Pasien biasanya datang ke klinik atau rumah sakit beberapa kali seminggu untuk menjalani sesi penyinaran singkat. Lama penyinarannya diatur sama dokter, tergantung sama seberapa sensitif kulit pasien dan responsnya terhadap terapi. Semakin lama kamu menjalani fototerapi, biasanya semakin baik hasilnya. Ada juga PUVA (Psoralen plus Ultraviolet A), tapi ini udah agak jarang dipakai sekarang karena ada NB-UVB yang lebih aman dan efektif. PUVA itu gabungan obat psoralen (yang bikin kulit lebih sensitif sama sinar UV) terus disinari pakai sinar UVA. Nah, ada satu lagi yang lumayan baru dan makin populer, yaitu excimer laser . Ini kayak versi fototerapi yang lebih fokus, sinar UV-nya lebih kuat dan diarahkan langsung ke area kulit yang bermasalah. Cocok banget buat area yang kecil tapi membandel, kayak di siku atau lutut. Fototerapi itu aman kalau dilakukan di bawah pengawasan medis . Dokter akan memantau ketat supaya nggak ada efek samping yang berbahaya, kayak kulit terbakar atau peningkatan risiko kanker kulit jangka panjang. Makanya, penting banget buat nurutin jadwal dan dosis yang dikasih dokter. Keuntungannya selain bisa ngurangin obat-obatan sistemik, fototerapi juga relatif cepat ngasih hasil buat banyak orang. Tapi, kayak terapi lain, butuh konsistensi. Kamu nggak bisa cuma sekali atau dua kali terus berharap sembuh total. Butuh komitmen untuk datang rutin ke fasilitas kesehatan. Jadi, buat kamu yang psoriasisnya cukup mengganggu tapi belum mau pakai obat minum atau suntik, fototerapi bisa jadi alternatif yang patut dipertimbangkan. Selalu diskusikan opsi ini sama dokter kulitmu ya, guys, biar tahu mana yang paling cocok buat kondisi spesifikmu.
Terapi Sistemik: Untuk Kasus yang Lebih Serius
Nah, kalau psoriasisnya udah parah banget, alias severe , atau nggak mempan sama terapi topikal dan fototerapi, baru deh kita lirik terapi sistemik . Ini maksudnya obat yang diminum atau disuntik, yang kerjanya ngobatin dari dalam tubuh. Tujuannya adalah ngontrol sistem imun kita yang lagi ‘ngaco’ itu, guys.
-
Obat Konvensional : Dulu, sebelum ada obat-obat baru yang canggih, obat kayak methotrexate, cyclosporine, atau acitretin jadi andalan. Methotrexate ini ngurangin pembentukan sel kulit baru dan menekan radang. Cyclosporine itu imunosupresan yang kuat, tapi biasanya cuma dipakai jangka pendek karena potensi efek sampingnya ke ginjal. Acitretin itu turunan vitamin A, bagus buat ngatur pertumbuhan sel kulit. Tapi , obat-obat ini perlu pengawasan ketat banget karena bisa ada efek samping ke organ lain, kayak hati, ginjal, atau sumsum tulang. Makanya, pasien yang minum obat ini harus rutin kontrol dan cek darah.
-
Terapi Biologis : Nah, ini dia yang lagi hits dan paling powerful ! Terapi biologis itu ibarat ‘misil pintar’ yang nyerang target spesifik di sistem imun yang bikin psoriasis. Obatnya dibuat dari sel hidup, jadi lebih presisi. Ada banyak jenisnya, tergantung ‘musuh’ mana yang mau dilawan. Ada yang nyerang TNF-alpha, IL-17, atau IL-23. Contoh obatnya kayak infliximab, adalimumab, secukinumab, ustekinumab, dan banyak lagi. Keunggulannya , terapi biologis ini seringkali ngasih hasil yang cepet banget dan signifikan, bahkan bisa bikin kulit mulus kayak nggak pernah ada psoriasis. Tapi, harganya lumayan ‘menggigit’, guys, dan karena ‘ngerem’ sistem imun, ada risiko infeksi jadi lebih tinggi. Makanya, sebelum mulai terapi biologis, dokter bakal cek dulu apakah ada infeksi laten kayak TBC. Pengobatan ini biasanya disuntikkan, entah itu ke pembuluh darah atau di bawah kulit, dan jadwalnya nggak sesering obat konvensional.
-
Obat Oral Baru : Selain biologis suntik, sekarang ada juga obat oral (tablet) yang cara kerjanya mirip biologis, kayak apremilast. Obat ini lebih ‘low profile’ dibanding biologis suntik, tapi efektivitasnya juga bagus buat kasus yang nggak terlalu parah.
Pemilihan terapi sistemik itu sangat individual. Dokter bakal pertimbangin seberapa parah psoriasis kamu, ada penyakit lain nggak, gaya hidupmu, sampai kemampuan finansialmu. Yang jelas, tujuan utamanya adalah mencapai remisi atau kondisi di mana psoriasis hampir nggak kelihatan, sambil menjaga kualitas hidupmu tetap optimal. Jadi, jangan takut buat diskusi sama dokter soal pilihan terapi ini ya, guys. Mereka siap bantu kamu nemuin ‘senjata’ terbaik!
Peran Penting Perawatan Kulit Sehari-hari
Guys, selain pengobatan medis yang udah kita bahas tadi, jangan pernah remehin peran penting perawatan kulit sehari-hari buat penderita psoriasis. Ini tuh kayak ‘backstage crew’ yang ngedukung banget si ‘aktor utama’ alias obat-obatan itu. Kulit yang sehat dan terawat itu lebih kuat melawan peradangan dan lebih nyaman pastinya.
-
Melembapkan itu Wajib! : Ini nomor satu, guys. Kulit psoriasis itu cenderung kering dan gampang pecah-pecah. Makanya, pakai pelembap itu wajib hukumnya , minimal dua kali sehari, pagi dan malam, atau kapan pun kulit terasa kering. Cari pelembap yang gentle , bebas pewangi, dan punya kandungan yang bagus kayak ceramide, hyaluronic acid, atau urea. Urea itu bagus buat ngelupasin sisik psoriasis secara perlahan dan melembapkan. Pelembap yang tepat bisa mengurangi rasa gatal dan mencegah kulit mengelupas . Jangan malas pakai pelembap ya, guys!
-
Mandilah dengan Air Hangat, Bukan Panas : Air panas itu bisa ngelunturin minyak alami kulit dan bikin kulit makin kering. Jadi, usahakan mandi pakai air hangat kuku aja. Terus, jangan gosok-gosok kulit pakai handuk kasar. Cukup tepuk-tepuk lembut sampai agak kering, baru deh pakai pelembap. Gunakan sabun yang mild dan fragrance-free juga, ya.
-
Hindari Pemicu : Ini juga krusial. Coba deh perhatiin, ada nggak sih hal-hal yang bikin psoriasis kamu kambuh? Misalnya, stres, cuaca dingin, luka di kulit (ini disebut Koebner phenomenon ), infeksi, atau bahkan beberapa jenis obat. Kalau udah tahu pemicunya, usahakan buat menghindarinya sebisa mungkin. Kalau stres, cari cara relaksasi yang cocok buat kamu, kayak yoga, meditasi, atau sekadar ngobrol sama teman.
-
Jangan Garuk! : Aku tahu ini susah banget, apalagi kalau gatalnya minta ampun. Tapi, menggaruk itu cuma bikin kulit makin rusak, radang makin parah, dan bisa jadi pintu masuk infeksi. Kalau gatal banget, coba kompres dingin, tepuk-tepuk pelan, atau pakai losion kalamin. Menjaga kulit tetap lembap juga bisa bantu ngurangin rasa gatal.
-
Perhatikan Gaya Hidup Sehat : Makan makanan bergizi, cukup tidur, olahraga teratur, dan berhenti merokok itu nggak cuma bagus buat kesehatan umum, tapi juga buat kulit psoriasismu . Beberapa penelitian nunjukin kalau pola makan sehat yang kaya antioksidan bisa bantu ngontrol peradangan.
Jadi, perawatan kulit sehari-hari ini bukan cuma pelengkap, tapi bagian integral dari penanganan psoriasis. Dengan kombinasi pengobatan medis dan perawatan diri yang konsisten, kamu bisa banget mengendalikan psoriasis dan hidup lebih nyaman. Ingat, guys, kulit sehat itu dimulai dari perawatan yang tepat setiap hari .
Dukungan Psikologis dan Kualitas Hidup
Psoriasis itu nggak cuma soal fisik, guys. Dukungan psikologis itu penting banget buat penderita psoriasis, karena penyakit ini bisa banget ngaruh ke kualitas hidup . Bayangin aja, punya bercak merah yang kelihatan di kulit, terus rasanya gatal, perih, bikin nggak pede. Nggak heran kalau banyak penderita psoriasis yang akhirnya ngalamin stres, cemas, bahkan depresi.
Nah, pedoman psoriasis Indonesia ini juga nyadar banget soal ini. Makanya, penting banget buat kita buat nyari support system. Ini bisa datang dari keluarga, teman, pasangan, atau bahkan komunitas sesama penderita psoriasis. Bergabung dengan komunitas psoriasis itu seru banget, lho. Kamu bisa sharing pengalaman, dapet tips perawatan yang mungkin belum pernah kepikiran, dan yang paling penting, merasa nggak sendirian. Banyak banget grup support online atau offline yang bisa kamu cari.
Selain itu, kalau memang terasa berat, jangan ragu buat konsultasi ke psikolog atau psikiater. Mereka bisa bantu kamu mengelola stres, mengatasi kecemasan, dan membangun kembali rasa percaya diri. Terapi bicara itu manjur banget, lho. Kadang, cuma dengan ngomongin unek-unek aja udah bikin lega.
Perlu diingat juga, guys, psoriasis itu bukan akhir segalanya . Banyak kok penderita psoriasis yang tetap bisa berprestasi, berkarya, dan hidup bahagia. Kuncinya adalah penerimaan diri dan fokus pada apa yang bisa kita kontrol. Jangan biarkan psoriasis mendefinisikan siapa dirimu. Kamu lebih dari sekadar penyakit kulit yang kamu punya.
Terus, gimana caranya ningkatin kualitas hidup? Selain ngikutin pengobatan dan perawatan kulit, coba deh lakuin hal-hal yang bikin kamu happy. Hobi, olahraga yang cocok, jalan-jalan, atau apa pun yang bisa bikin mood jadi bagus. Menjaga kesehatan mental itu sama pentingnya dengan menjaga kesehatan fisik .
Penting banget buat kita saling dukung. Kalau kamu punya teman atau keluarga yang kena psoriasis, coba deh jadi pendengar yang baik, tawarkan bantuan, dan tunjukkin kalau kamu peduli. Sedikit perhatian aja bisa berarti besar buat mereka. Yuk, kita ciptain lingkungan yang lebih suportif buat semua penderita psoriasis. Ingat, kamu kuat, kamu berharga, dan kamu nggak sendirian .
Kesimpulan: Hidup Berkualitas dengan Psoriasis
Gimana, guys? Udah mulai tercerahkan soal pedoman psoriasis Indonesia terbaru ? Intinya, psoriasis itu memang kondisi kronis yang butuh penanganan jangka panjang, tapi bukan berarti kita nggak bisa hidup berkualitas dengan psoriasis . Kuncinya ada di kombinasi penanganan medis yang tepat, perawatan kulit mandiri yang konsisten, dan dukungan psikologis yang kuat.
Diagnosis dini dan akurat itu langkah awal yang krusial. Lanjut ke pilihan terapi yang disesuaikan sama tingkat keparahan, mulai dari obat oles, fototerapi, sampai obat sistemik yang lebih canggih. Jangan lupakan juga perawatan kulit sehari-hari yang simpel tapi berdampak besar, kayak melembapkan dan hindari pemicu. Terakhir, dan nggak kalah penting, dukungan psikologis dan menjaga kualitas hidup itu wajib banget. Cari support system, kelola stres, dan jangan lupa lakuin hal-hal yang bikin kamu bahagia.
Dengan informasi yang tepat dan pendekatan yang komprehensif, penderita psoriasis di Indonesia bisa banget hidup lebih nyaman, aktif, dan produktif. Jangan pernah menyerah ya, guys! Terus semangat, terus belajar, dan terus konsultasi sama doktermu. Kamu berhak mendapatkan kualitas hidup yang baik , terlepas dari kondisi kulitmu. Sampai jumpa di obrolan selanjutnya!