NPR Vs NCR: Unpacking Permutations And Combinations

N.Vehikl 3 views
NPR Vs NCR: Unpacking Permutations And Combinations

NPR vs NCR: Unpacking Permutations and Combinations

Hey there, math enthusiasts and curious minds! Ever stumbled upon those mysterious terms, NPR and NCR , and wondered what they actually mean? Well, you’re in the right place! Today, we’re going to dive deep into the world of permutations and combinations – the backbone of probability, statistics, and even some cool real-world applications. Forget about dry textbooks; we’re breaking this down in a way that’s easy to grasp, fun to learn, and, dare I say, maybe even a little bit exciting! So, buckle up, because we’re about to demystify these mathematical concepts and show you how they can be used to solve interesting problems. Let’s get started, shall we?

Decoding NPR: The Art of Order Matters

Alright, let’s start with NPR , which stands for nPr . Think of NPR as the art of arranging things where the order absolutely matters . Imagine you’re organizing a race. The first, second, and third-place winners get different medals, right? That order is super important. That’s the essence of permutations.

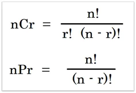
Formally, NPR calculates the number of ways to arrange r items from a set of n distinct items, where the order of the items is significant. The formula looks like this: NPR = n! / (n-r)!.

Let’s break that down with a super easy example. Let’s say you have three friends: Alex, Ben, and Chloe (n = 3), and you want to pick two of them to run a race (r = 2). How many different finishing orders are possible? Well, using the formula:

  • n! = 3! = 3 * 2 * 1 = 6
  • (n-r)! = (3-2)! = 1! = 1
  • NPR = 6 / 1 = 6

So, there are 6 possible finishing orders. They are: Alex-Ben, Ben-Alex, Alex-Chloe, Chloe-Alex, Ben-Chloe, and Chloe-Ben. See how the order makes a difference? Alex coming first is different than Alex coming second. The factorial (!) is a shorthand way of multiplying all the whole numbers from 1 up to a given number. It’s a key part of the permutation calculation. Understanding factorials is crucial for mastering the concepts of permutations.

Another example, suppose you have ten different books and you want to arrange only 4 of the books on the shelf, then the order of the books on the shelf matters. The arrangement becomes a permutation problem. Using the formula we get n = 10 and r = 4. NPR = 10! / (10-4)! = 10! / 6! = 10 * 9 * 8 * 7 = 5,040. So there are 5,040 ways to arrange the 4 books. When the arrangement relies on the specific sequence of selection, NPR is the tool you need. The calculation grows rapidly with larger numbers. A small change in ‘n’ or ‘r’ can dramatically alter the outcome. This can apply to various fields, from cryptography to genetics, where order and arrangement are fundamental.

Unveiling NCR: Where Order Takes a Backseat

Now, let’s switch gears and explore NCR , which stands for nCr . Think of NCR as the concept where the order doesn’t matter . Instead, it’s all about selecting a group or a subset of items. Imagine you’re choosing a team for a project. You need to pick three students from a class of ten. The order in which you pick them doesn’t change the team, right? That’s the core of combinations. The order doesn’t matter, it’s just about who’s in the group.

Formally, NCR calculates the number of ways to choose r items from a set of n distinct items, where the order is not important. The formula is: NCR = n! / (r! * (n-r)!).

Let’s use the same example as before: choosing 2 friends from Alex, Ben and Chloe (n=3), except now the order doesn’t matter. The calculation goes like this:

  • n! = 3! = 6
  • r! = 2! = 2
  • (n-r)! = 1! = 1
  • NCR = 6 / (2 * 1) = 3

So, there are only three possible teams: Alex and Ben, Alex and Chloe, or Ben and Chloe. The key difference here is that the order doesn’t create a new combination. When you select a group of items, where the order does not have any relevance, NCR is the appropriate method to apply.

Consider another scenario: From a group of 15 people, you need to form a committee of 5. The order in which you select the committee members is not relevant; the committee remains the same regardless of the sequence of selection. Here, n=15 and r=5. NCR = 15! / (5! * 10!) = 3003. Thus, there are 3,003 ways to form the committee. The calculation highlights the difference in output between permutations and combinations. Combinations often yield smaller values due to the elimination of order-related distinctions. The contrast in the formulas of NCR and NPR highlights their varying approach to the calculation of subsets or arrangements.

NPR vs NCR: Key Differences

Alright, let’s sum up the key differences between NPR and NCR:

  • Order: NPR cares deeply about order, NCR does not.
  • Application: NPR is for arrangements, NCR is for selections.
  • Formula: NPR uses n!/(n-r)!, NCR uses n!/(r!*(n-r)!).
  • Context: Think of NPR when arranging things, and NCR when selecting a group.

To solidify the understanding, the choice between NPR and NCR depends entirely on the nature of the problem. If the order of the selection or arrangement is critical, like ranking items or creating a password, then NPR is the right tool. Conversely, if the order is irrelevant, and the focus is on the composition of a group or collection, NCR is the tool to apply. These contrasting principles are useful in probability, statistics, and other fields that need a deep understanding of permutations and combinations.

Real-World Applications

So, where do you actually use these concepts, aside from math class? Plenty of places, my friends!

  • Probability: Calculating the chances of winning the lottery (NCR) or dealing a specific hand in poker (NPR).
  • Computer Science: Designing algorithms, analyzing data structures, and more.
  • Statistics: Analyzing surveys, experiments, and understanding data distributions.
  • Sports: Calculating the possible outcomes of a tournament (NPR) or selecting a team (NCR).
  • Cryptography: Creating secure passwords and encryption methods.

As you delve deeper, you’ll find that these principles are fundamental in numerous fields, shaping the structure of the digital world and helping us understand complex systems.

Tips for Mastering NPR and NCR

Here are some quick tips to help you conquer NPR and NCR:

  • Practice, practice, practice: The more problems you solve, the better you’ll understand the concepts.
  • Understand the problem: Carefully read each problem to determine if order matters.
  • Use the formulas: Don’t be afraid to use the formulas, but also try to understand why they work.
  • Use calculators or online tools: For larger numbers, use a calculator or online tool to avoid tedious calculations.
  • Break it down: Break down complex problems into smaller, more manageable steps.
  • Relate to real-world scenarios: Try to connect the concepts to real-world situations to improve understanding and retention.

Keep in mind that when addressing problems involving permutations and combinations, a clear understanding of the context is essential. Taking the time to analyze whether the arrangement or selection matters is a critical step in using these concepts effectively. The more you familiarize yourself with solving problems using NPR and NCR, the more intuitive the application of these tools becomes. They are a foundation for advanced topics such as probability, statistics, and computer science. The ability to distinguish between scenarios where order matters and where it does not is an essential skill.

Conclusion: Embrace the Math!

So, there you have it, guys! NPR and NCR demystified. Remember, NPR is all about order , and NCR is all about selection . With practice and a bit of patience, you’ll be solving these problems like a pro in no time.

Math can be fun, and understanding these concepts opens doors to a whole new world of problem-solving. Keep exploring, keep questioning, and keep having fun with math! You got this! Feel free to ask more questions.